Welcome: YAL Chemicals, Inc.

Bulk Natural Products

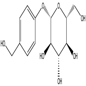
  • Gastrodin, CAS No. 62499-27-8, YCP0460
Gastrodin, CAS No. 62499-27-8, YCP0460

Gastrodin, CAS No. 62499-27-8, YCP0460

  • Molecular Formula : C13H18O7
  • Molecular Weight : 286.28
  • Quantity : Commercial
  • Purity : 98%min
  • INQUIRY
Scan the qr codeClose
the qr code