Welcome: YAL Chemicals, Inc.

Triterpenoids

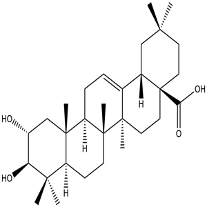
  • Maslinic acid, CAS No. 4373-41-5, YCP0697
Maslinic acid, CAS No. 4373-41-5, YCP0697

Maslinic acid, CAS No. 4373-41-5, YCP0697

  • Molecular Formula : C30H48O4
  • Molecular Weight : 472.7
  • Quantity : 100g batch
  • Purity : 98%min
  • INQUIRY
Scan the qr codeClose
the qr code